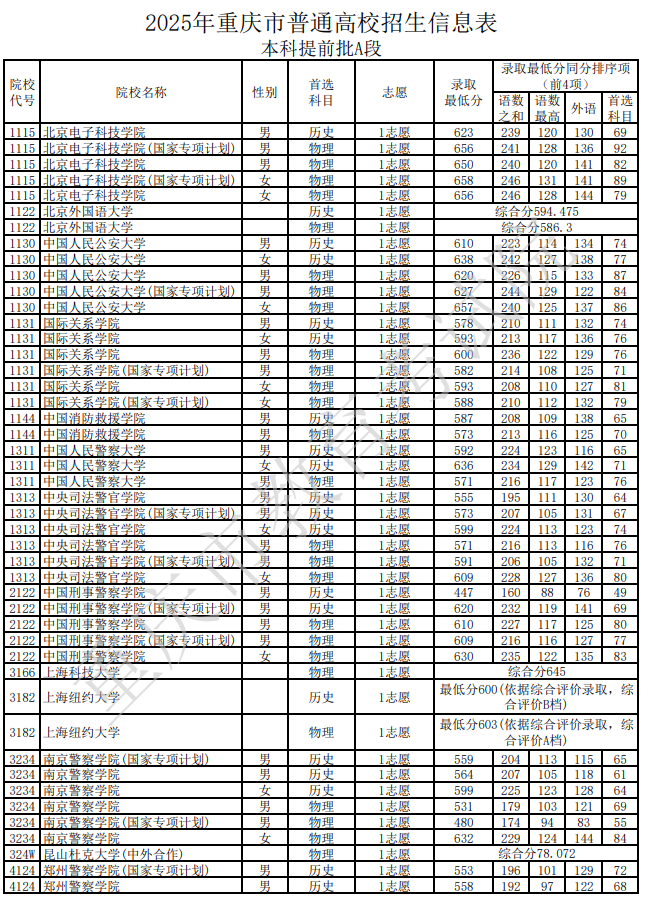
2025年全国警校在重庆录取最低分数线因招生专业组不同而有所差异,其中2025年重庆提前批公安警察院校最低录取分数线:历史类为447分、物理类为480分。历史类最低分警校为中国刑事警察学院,物理类最低分警校为南京警察学院。详细内容大家关注教育考试院官方发布的最新信息,以获取最准确的数据。

2025年重庆市普通高校招生信息表本科提前批A段已经发布,其中警校2025年在重庆最低录取分数线情况如下,大家可以看一看。警校2025年在重庆各校各科类最低分详情如下(含国家专项计划):
南京警察学院:物理类480分、历史类559分
郑州警察学院:物理类572分、历史类553分
中国人民公安大学:物理类620分、历史类610分
中央司法警官学院:物理类571分、历史类555分
重庆警察学院:物理类564分、历史类537分
中国人民警察大学:物理类571分、历史类592分
中国刑事警察学院:物理类609分、历史类447分


重庆比较好的警校推荐重庆警察学院,重庆警察学院介绍
重庆警察学院是由重庆市人民政府举办、受重庆市公安局管理和重庆市教育委员会指导的全日制公安类普通本科院校。学院前身是1950年成立的重庆市人民政府公安局公安学校,历经重庆市公安学校、重庆市人民警察学校、重庆警官职业学院等发展阶段,2012年经教育部批准,在重庆警官职业学院基础上组建重庆警察学院。
专业设置:学院现有侦查学、治安学、警务指挥与战术、刑事科学技术、交通管理工程、网络安全与执法、经济犯罪侦查和禁毒学8个本科专业,涵盖法学和工学两个学科门类、公安学和公安技术两个一级学科。其中,警务指挥与战术专业为全国公安高等教育重点专业培育点和重庆市"一流专业"点,治安学、刑事科学技术、交通管理工程3个专业为重庆市特色专业。
重庆警察学院毕业生就业率保持在95%以上,大部分进入公安系统,成为社会稳定的重要力量。