对于2026年辽宁高考考生而言,一分一段表是志愿填报的重要凭据,考生可以根据自己的位次和往年分数线,来科学的选择自己的目标高校与专业,也可以用来判断自己被心仪的高校录取的概率,降低自己退档的风险。下面为2025年高考一分一段表,为大家带来各分数对应位次排名情况:

以下是小编整理的2025辽宁高考一分一段表及位次排名完整版,供2026届考生参考!
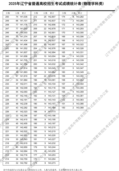
物理类




历史类




第一:看自己的排名情况
由于每年高考分数线受影响因素较多,学校录取分数线波动较大,仅仅通过分数线去查看自己能上的大学,准确率不高,因此一分一段表非常重要。
所谓一分一段表,就是一分有一个排名,通过一分一段表,考生可以找到自己的高考成绩在全省同类考生中的排名,通过这个排名去对比学校往年的录取位次,如果位次相当,那么考生被学校录取的概率就较大,但是相差较大,那么考生被录取概率较小。
第二、看学校的录取位次
学校的录取分数线波动较大,但是通常来说录取位次的变化是不大的,因此考生可以利用一分一段表参考学校的录取位次,更准确的是参考学校近三年的平均位次,如果考生的排名超过学校近几年的平均位次,那么被录取的概率是较大的。
第三、查同位分
通过当年的录取分数线去查看去年同分数录取分数线的学校,误差是较大的,但是考生可以找到去年的同位分,通过同位分再查看自己能上的大学,这样得到的数据也较为准备。
一分一段表只是一个参考工具,不能完全依赖它来做出决策。考生的排名情况会受到很多因素的影响,如试题难度、评卷标准等,因此需要结合其他因素进行综合分析。
考生在使用一分一段表时需要注意数据的时效性。一分一段表的数据通常是基于当年的考试成绩和招生计划进行的统计,因此需要及时关注当年的招生政策和录取规则的变化情况。